首页 > 晋江 > 晋江新闻 > 正文

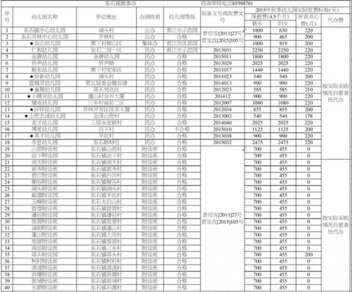
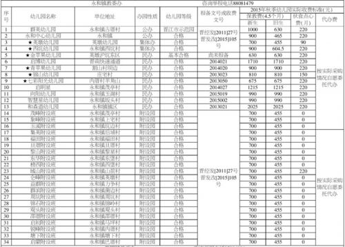
晋江2015年幼儿园秋季收费情况公示(附表)

2015-08-25 10:49 来源: 晋江经济报 0

(1/20)

(2/20)

(3/20)

(4/20)

(5/20)

(6/20)

(7/20)

(8/20)

(9/20)

(10/20)

(11/20)

(12/20)

(13/20)

(14/20)

(15/20)

(16/20)

(17/20)

(18/20)

(19/20)

(20/20)

新闻推荐

加载更多...
网友评论仅供网友表达个人看法,并不表明本网同意其观点或证实其描述。
到头了;
下一条: 中巴车司机因“隔夜酒” 酒驾加超载被拘留
24小时新闻排行榜